|
Menu
×
×
Correct!
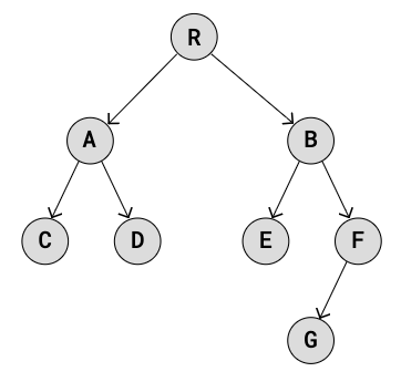
Exercise:In a Binary Tree data structure, like the one below:
What is the relationship between node B and nodes E and F?
Node E is B's @(5) child node,
and node F is B's @(5) child node.
Node E is B's left child node,
and node F is B's right child node.
Node E is B's left child node,
and node F is B's right child node.
Not CorrectClick here to try again. Correct!Next ❯ |
This will reset the score of ALL 43 exercises.
Are you sure you want to continue?